التوجيهي:بالصور نموذج امتحان الفيزياء الفرع العلمي الثانوية العامة توجيهي مع الحلول

إنضم
1 فبراير 2013
المشاركات
17,276
مستوى التفاعل
360
النقاط
63
الإقامة
المفرق
do.php
do.php





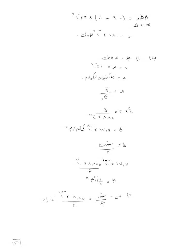
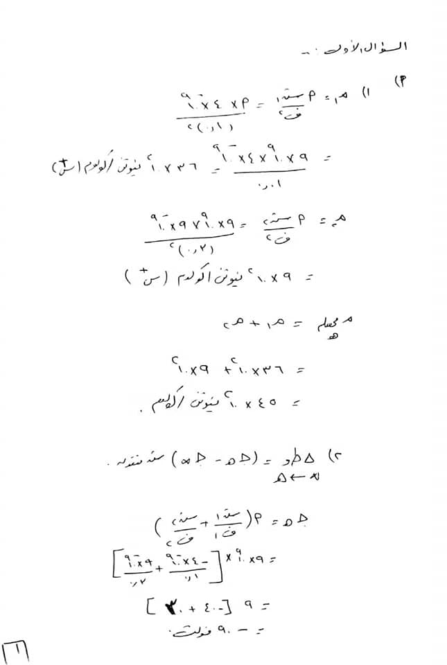
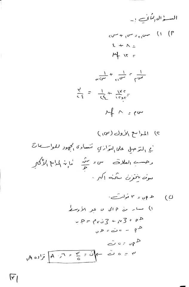
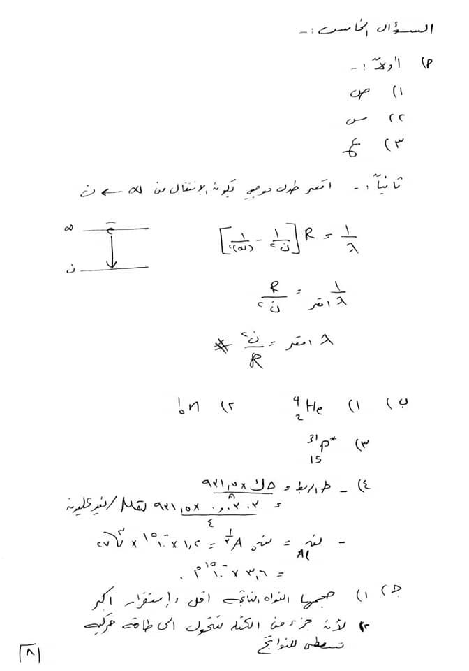
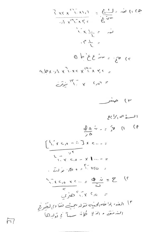
الإجابة النموذجية بأرقام الصفحات بالكتاب من وزارة التربية والتعليم




do.php






do.php
do.php
do.php
do.php
do.php
do.php
do.php
do.php
 

المرفقات

التعديل الأخير بواسطة المشرف:

Benzer konular

أعلى